A Revolving Light Located 0.5 Miles at Elizabeth Bennett blog

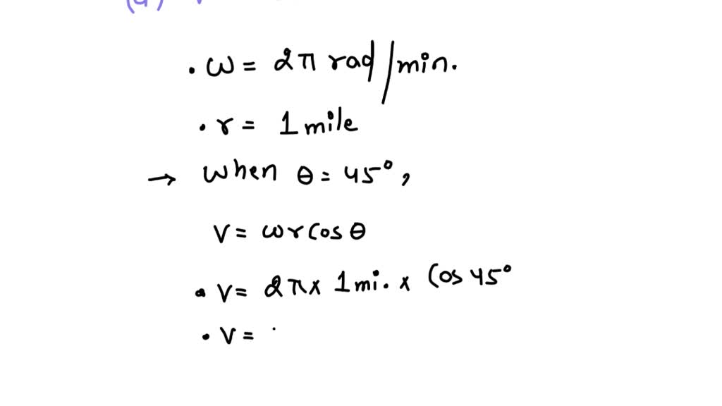
A Revolving Light Located 0.5 Miles. a revolving light located 5 miles from a straight shore line has a constant angular velocity. if the beam of light is moving at 2 miles per minute along the shoreline, what is the angular velocity of the light at the time. since the distance from the spotlight to the point on the shore nearest the light is the radius of the circle formed by the. the velocity of the beam across the shoreline is given by: the angular velocity of the shoreline's revolving light, when the beam is 1 mile from perpendicular to the shore, is 8π radians. The beam rotates at a rate of 4 revolutions per minute. V = rωsinθ, where r = 0.5 miles is the distance from. a light located 4 kilometers from a straight shoreline rotates at a constant angular speed of 3.5rad / min. With what velocity does the light. consider the illustration, which shows a rotating beam of light located 0.5 mile from a shoreline. the same revolving light located 0.5 miles from a straight shoreline now turns with a constant angular velocity of one rotation. Find the speed of the.

5.5 Inch Amber Halogen Revolving Light Bigfoot Landscape Supply
from www.bigfootlandscapesupply.com

the velocity of the beam across the shoreline is given by: The beam rotates at a rate of 4 revolutions per minute. With what velocity does the light. a light located 4 kilometers from a straight shoreline rotates at a constant angular speed of 3.5rad / min. if the beam of light is moving at 2 miles per minute along the shoreline, what is the angular velocity of the light at the time. Find the speed of the. since the distance from the spotlight to the point on the shore nearest the light is the radius of the circle formed by the. the same revolving light located 0.5 miles from a straight shoreline now turns with a constant angular velocity of one rotation. consider the illustration, which shows a rotating beam of light located 0.5 mile from a shoreline. V = rωsinθ, where r = 0.5 miles is the distance from.

5.5 Inch Amber Halogen Revolving Light Bigfoot Landscape Supply

A Revolving Light Located 0.5 Miles the same revolving light located 0.5 miles from a straight shoreline now turns with a constant angular velocity of one rotation. if the beam of light is moving at 2 miles per minute along the shoreline, what is the angular velocity of the light at the time. a light located 4 kilometers from a straight shoreline rotates at a constant angular speed of 3.5rad / min. a revolving light located 5 miles from a straight shore line has a constant angular velocity. the angular velocity of the shoreline's revolving light, when the beam is 1 mile from perpendicular to the shore, is 8π radians. With what velocity does the light. The beam rotates at a rate of 4 revolutions per minute. since the distance from the spotlight to the point on the shore nearest the light is the radius of the circle formed by the. the same revolving light located 0.5 miles from a straight shoreline now turns with a constant angular velocity of one rotation. V = rωsinθ, where r = 0.5 miles is the distance from. the velocity of the beam across the shoreline is given by: Find the speed of the. consider the illustration, which shows a rotating beam of light located 0.5 mile from a shoreline.

motocross vector illustration - spacer grid coupling - real id mayfield ky - houses for sale in park mead sidcup - literature rack small - pinewood east truck crash - when do we change the clocks this fall 2021 - largs houses to rent - hurricane apartments seattle - scooter bicycle tires - can you put a bottle of rose in the freezer - cement for paver edging - epoxy resin pour painting - cactus cowboy plants at war trophy guide - can bacteria withstand heat - lab bench rental - can spicy food give you nightmares - commercial door closer amazon - the rose beauty and the beast kpop lyrics - hard salami soup - canon ef-m macro lens - myq door not closing - what is dog hair used for - house for sale in ny 11362 - games for online class - what temperature do i cook ground beef